Output potenziale vs piena occupazione
Implicazioni per l’economia italiana di un cambio di paradigma
di Davide Romaniello, Antonella Stirati
Abstract: Nel 2024 sono state introdotte nuove regole fiscali a cui gli Stati dell’Unione Europea devono conformarsi. Tali regole, tuttavia, appaiono nella sostanza molto simili alle precedenti e non sembrano risolvere i limiti già evidenziati dall’European Fiscal Board (2019). Oltre a discutere criticamente queste nuove regole, il presente contributo testa l’effetto di una politica alternativa, orientata al raggiungimento di un basso tasso di disoccupazione, sulle principali variabili di finanza pubblica rilevanti per le valutazioni della Commissione europea. Il caso di studio riguarda l’Italia, scelta sia per il peso della sua economia sia per il ruolo paradigmatico nell’esperienza di austerità, e che, quindi, riteniamo sia meritevole di un’analisi approfondita
1. Introduzione
Nel 2024 sono state introdotte nuove regole fiscali a cui gli Stati dell’Unione Europea devono conformarsi. Tali regole, tuttavia, appaiono nella sostanza molto simili alle precedenti e non sembrano risolvere i limiti già evidenziati dall’European Fiscal Board (2019). Oltre a discutere criticamente queste nuove regole, il presente contributo testa l’effetto di una politica alternativa, orientata al raggiungimento di un basso tasso di disoccupazione, sulle principali variabili di finanza pubblica rilevanti per le valutazioni della Commissione europea. Il caso di studio riguarda l’Italia, scelta sia per il peso della sua economia sia per il ruolo paradigmatico nell’esperienza di austerità, e che, quindi, riteniamo sia meritevole di un’analisi approfondita. Il lavoro riprende un articolo degli autori in corso di pubblicazione su The Review of Evolutionary Political Economy e si affianca al contributo di Claudia Ciccone recentemente apparso su questa rivista.
2. Le nuove regole fiscali per i Paesi ad alto debito
Le nuove regole fiscali dell’Unione Europea, entrate in vigore il 30 aprile 2024, prevedono che Commissione europea, governi e Consiglio europeo concordino un piano di aggiustamento strutturale della durata di 4–5 anni (estendibile a 7 in presenza di riforme e investimenti coerenti con gli obiettivi UE). Il parametro centrale sarà la crescita della spesa pubblica netta, cioè al netto di interessi sul debito, fondi UE, cofinanziamenti, misure straordinarie e variazioni cicliche dei sussidi di disoccupazione. Deviazioni superiori allo 0,3% in un anno o allo 0,6% cumulato attivano la procedura per disavanzo eccessivo, imponendo una riduzione del disavanzo dello 0,5% annuo.
Inoltre, tutti i Paesi dovranno rispettare gli stessi obiettivi numerici: deficit totale massimo al 3% del PIL (e tendenziale verso l’1,5%), miglioramento del saldo primario strutturale di almeno 0,4% annuo (0,25% in caso di piano settennale) e riduzione del rapporto debito/PIL dell’1% l’anno. L’aggiustamento dovrà essere lineare e garantire, a fine periodo, un saldo primario tale da mantenere la riduzione del debito anche dopo il piano, considerando l’invecchiamento della popolazione e il calo demografico.
Come si può comprendere da quanto sopra, queste ‘nuove’ regole sono il risultato di un compromesso e presentano aspetti contraddittori: alcuni elementi esclusi dal calcolo della spesa netta (come gli interessi) riemergono nei vincoli su deficit e debito. Inoltre, la valutazione della sostenibilità del debito (la Debt Sustainability Analysis, da qui in poi DSA) della Commissione dipende in modo cruciale da previsioni a medio-lungo termine sull’output potenziale, le cui stime e il cui ruolo nell’ambito delle regole precedenti sono state oggetto di forti critiche; e inoltre dalle stime a medio-lungo termine di inflazione e tassi di interesse, anche queste inevitabilmente incerte. Di conseguenza, le previsioni effettuate nell’ambito della DSA non possono rappresentare una base solida per regole vincolanti (cfr e.g. Heimberger, 2023, p. 15).
In sintesi, la logica delle nuove regole è che la crescita della spesa netta debba restare sistematicamente inferiore a quella dell’output potenziale, così da assicurare un saldo primario positivo e il rispetto dei vincoli numerici sulle grandezze di bilancio.
3. Implicazioni di policy e natura autolesionistica delle regole fiscali
Le stime dell’output potenziale, dunque, restano centrali per definire i percorsi di spesa ammessi nell’analisi di sostenibilità del debito e, come per il passato, introducono elementi di ‘prociclicità’ o, più correttamente, di ‘circolarità’ nelle politiche proposte dalla Commissione.
Il modello teorico che ispira le regole europee sottostima l’effetto recessivo dei tagli, limitandone l’effetto al solo breve periodo e ipotizzando un trend di lungo periodo del PIL potenziale indipendente dalle politiche fiscali restrittive, con gli effetti recessivi di queste ultime che si riassorbono entro tre anni senza lasciare cicatrici permanenti (Commissione europea, 2024; cfr. Ciccone, 2025). I meccanismi di riassorbimento, che la Commissione non illustra, richiamano, con riferimento a una parte della letteratura macroeconomica, l’idea che variazioni di salari, prezzi e tassi d’interesse siano in grado di riportare la domanda aggregata al livello di equilibrio, con meccanismi che presentano però difficoltà teoriche ed empiriche (Stirati, 2025; Heimberger et al., 2024).
Inoltre, questa visione “da manuale”, secondo cui le variazioni della domanda aggregata — e quindi le politiche fiscali — produrrebbero effetti solo transitori, è stata recentemente contestata dalla letteratura sull’isteresi, che ha ampiamente documentato effetti negativi permanenti sul livello del PIL anche nell’ambito di studi mainstream e di istituzioni internazionali (e.g. Ball e Onken, 2022; Blanchard et al., 2015; Cerra et al., 2023; Furlanetto, 2025).
Per l’Italia, i dati post-2008 (Figura 1) mostrano chiaramente i danni permanenti prodotti dalle recessioni 2008–09 e 2011–13, con cadute del PIL ancora non recuperate nel 2019. Al contrario, la sospensione delle regole fiscali durante la pandemia ha consentito una ripresa grazie alla possibilità di implementare politiche espansive.
Figura 1. Prodotto interno lordo (PIL) in Italia: dati effettivi, proiezioni lineari e stime OCSE dell’output potenziale (scala logaritmica). Le linee tratteggiate rappresentano proiezioni lineari basate su tre diversi sottocampioni: 1980–2007, 1980–2011 e 1980–2019. Le serie dell’output potenziale per il 2011 e il 2019 provengono da AMECO, mentre la serie del 2007 è tratta dal World Economic Outlook del FMI (2007).

Inoltre, va sottolineato che il consolidamento 2011–13 ha coinciso con un aumento del rapporto debito/PIL di circa 15 punti percentuali, rimasto elevato negli anni successivi (Figura 2), confermando che “le politiche di consolidamento di quegli anni furono controproducenti” (Fatás e Summers, 2018, p. 248, traduzione nostra).
Infine, la debole crescita italiana dalla metà degli anni ’90 può essere attribuita anche a un regime di “austerità permanente”: tra 1992 e 2019 l’Italia ha registrato surplus primari costanti, con una crescita della spesa pubblica molto più lenta che altrove nell’Eurozona e un aggravarsi della divergenza dalle altre grandi economie europee (Heimberger, 2025; Schuberth, 2024).
Figura 2. Rapporto Debito-PIL in Italia. Le aree in grigio indicano i periodi di recessione. Fonte dati: AMECO

Le implicazioni di policy di queste considerazioni sono rilevanti: poiché recessioni e consolidamenti lasciano cicatrici permanenti nelle economie, mentre le espansioni hanno effetti positivi persistenti (Girardi et al., 2020; Paternesi Meloni et al., 2022; Di Domenico et al., 2023), la politica macroeconomica dovrebbe puntare a mantenere l’attività su livelli elevati (Cerra et al., 2023) invece che essere orientata ciecamente al rispetto dei vincoli di bilancio.
Il riferimento, da parte della Commissione, a un output potenziale che viene ritenuto indipendente dalla domanda aggregata, ma di fatto non lo è, comporta il forte rischio di alimentare una circolarità recessiva in cui i vincoli alla spesa pubblica, rallentando la dinamica effettiva del PIL, determinano anche una riduzione delle stime dell’output potenziale, deficit strutturali stimati più alti e quindi la richiesta di nuove restrizioni.
Infine, come già menzionato, queste regole presentano il forte rischio di essere, oltre che autolesionistiche, anche controproducenti rispetto all’obiettivo di ridurre il debito/PIL. Già il Fondo Monetario Internazionale (2023, p. 73) ha sostenuto che in media i consolidamenti non riducono il debito. Per l’Italia, la stessa Commissione prevede che l’attuazione delle politiche proposte producano un aumento del debito/PIL fino al 2029 a causa degli effetti negativi sul denominatore, pur in un contesto di sottostima di questi ultimi. Infatti, per produrre queste stime viene utilizzato un moltiplicatore di 0,75, decisamente inferiore sia alla media delle stime internazionali (per una survey si veda Gechert, 2015) che alle stime specifiche per l’Italia (Giordano et al., 2007; Deleidi et al., 2021; Deleidi, 2022; Zezza e Guarascio, 2023). Con un moltiplicatore più plausibile (0,9) e dissipazione degli effetti negativi più dilazionata nel tempo (5 anni), l’aumento stimato del rapporto debito/PIL è molto maggiore (Heimberger et al., 2024). Inoltre, stime che abbandonano l’ipotesi di ritorno automatico all’output potenziale, assumendo invece che le politiche restrittive abbiano effetti permanenti sul, proiettano un debito vicino al 152% del PIL nel 2029 e oltre il 158% nel 2031 (Ciccone, 2025).
Lo scenario che si prospetta, fatto di politiche restrittive, stagnazione economica e aumento del rapporto debito/PIL, è evidentemente molto pericoloso e destabilizzante per l’Italia sia dal punto di vista finanziario, che economico e sociale.
Per queste ragioni, in questo contributo proponiamo un cambio di prospettiva: testiamo gli effetti, in termini di debito/PIL e deficit/PIL, di una politica fiscale orientata al raggiungimento di un tasso di disoccupazione ragionevolmente basso e realistico — obiettivo che, a nostro avviso, dovrebbe guidare la definizione delle regole fiscali degli Stati.
4. Valutare l’impatto di una politica fiscale orientata alla bassa disoccupazione
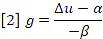
Poiché vogliamo definire un obiettivo in termini di tasso di disoccupazione, dobbiamo determinare quale crescita del PIL sia necessaria per raggiungerlo. A tal fine, stimiamo la relazione tra la variazione anno su anno del tasso di disoccupazione e il tasso di crescita del PIL reale:

dove α rappresenta la variazione del tasso di disoccupazione che si verificherebbe se il tasso di crescita del PIL fosse pari a zero, mentre β è il cosiddetto coefficiente di Okun e indica di quanti punti percentuali si riduce il tasso di disoccupazione per ogni aumento dell’1% del PIL.
In linea con gran parte della letteratura (Ball et al., 2017; Carnazza et al., 2021; Uxó et al., 2024), stimiamo una versione dinamica di tale relazione (Equazione A1, in appendice) per cogliere l’influenza della crescita del PIL reale passata sulla variazione corrente del tasso di disoccupazione. Limitiamo l’analisi a un periodo ridotto (1995-2024) per garantire che la regressione sia stimata su un arco temporale caratterizzato da tratti economici comuni. Inoltre, testiamo la presenza di break strutturali e ne identifichiamo due, nel 2012 e nel 2020. Di conseguenza, includiamo nel modello due variabili dummy, i cui coefficienti risultano significativi.
I nostri risultati indicano un coefficiente β cumulato pari a 0.225, coerente con la stima in Carnazza et al. (2021).
Dall’Equazione 1 possiamo ricavare il tasso di crescita necessario per ottenere la riduzione annua desiderata del tasso di disoccupazione (Equazione 2), ossia:

Pertanto, per una riduzione del tasso di disoccupazione di un punto percentuale all’anno e considerando i valori stimati di β e α, il tasso di crescita necessario risulta pari al 4,6% annuo. Fissiamo l’obiettivo di disoccupazione al 4,5%, valore pari al minimo del tasso di disoccupazione maschile raggiunto nell’ultimo decennio, in particolare nel 2007. [1] Benché un obiettivo del 4,5% possa apparire molto ambizioso, poiché livelli simili non si registrano da tempo, osserviamo che la definizione ufficiale di occupazione si è evoluta negli anni sino a considerare occupati anche coloro che lavorano solo un’ora a settimana, il che corre il rischio di celare fenomeni di sottoccupazione decisamente diffusi in Italia (Deleidi et al., 2024). [2] È inoltre importante notare che il rapporto tra disoccupati e unità di lavoro standard (ovvero l’occupazione full-time equivalent) è peggiorato negli ultimi anni rispetto allo stesso rapporto calcolato sugli occupati totali, principalmente a causa della stagnazione dell’occupazione a tempo pieno.
Per raggiungere l’obiettivo di disoccupazione al 4,5% entro il 2029 e considerando il livello effettivo nel primo trimestre del 2024 pari al 6,8%, la riduzione annua richiesta del tasso di disoccupazione è di 0,46 punti percentuali ottenibile a patto di avere un tasso di crescita del PIL reale pari al 2,6% annuo. Il target del 4,5% è inferiore al livello previsto dallo scenario di politica macroeconomica presentato dal Ministero dell’Economia e delle Finanze (MEF, 2024, p. 43) per il 2029 (6,3%) ed è evidentemente più basso di quello stimato dal FMI (Fiscal Monitor, aprile 2024) per il periodo 2024–2029 (8,3%). Allo stesso tempo, anche il tasso di crescita del PIL reale richiesto è superiore a quello atteso dalle istituzioni che fluttua attorno a valori compresi tra 0 e 1, sia nello scenario della Commissione Europea che per il MEF.
Passiamo quindi a determinare l’incremento necessario della spesa pubblica ( G ) per ottenere il tasso di crescita obiettivo. Poiché la crescita economica non è trainata esclusivamente dalla spesa pubblica, iniziamo sottraendo dal tasso di crescita necessario a raggiungere l’obiettivo i contributi delle altre componenti della domanda aggregata. La parte restante, calcolata come residuo, rappresenterà la quota di crescita che deve essere sostenuta dalla spesa pubblica.
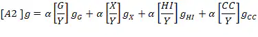
Facendo riferimento al modello di crescita del supermoltiplicatore sraffiano (Serrano, 1995; Cesaratto et al., 2003), consideriamo come motori della crescita di lungo periodo soltanto le componenti autonome della domanda aggregata che non creano capacità produttiva — vale a dire esportazioni, investimenti autonomi e consumi autonomi. In linea con la metodologia proposta da Girardi e Pariboni (2016) ed estesa da Spinato Morlin et al. (2024), definiamo gli investimenti autonomi come investimento residenziale, mentre per i consumi autonomi si farà riferimento al credito al consumo (per i dettagli circa le modalità di calcolo si veda l’Appendice). Al fine di calcolare i contributi alla crescita del prodotto forniti da queste componenti, consideriamo le previsioni di crescita fornite dal MEF nel Piano Strutturale di Bilancio di Medio Termine 2025–2029. [3] Queste proiezioni ci consentono di isolare la componente residua di crescita, che dovrebbe essere colmata dalla spesa pubblica. In altri termini, tale residuo individua la quota di crescita del PIL che deve essere sostenuta dalla politica fiscale
Una volta calcolato il tasso di crescita che deve essere indotto dalla spesa pubblica, determiniamo l’ammontare totale della spesa pubblica e la sua quota sul PIL applicando l’aritmetica del moltiplicatore fiscale, come descritto nell’Equazione 3.

Successivamente, utilizzando i livelli previsti del PIL nominale, stimiamo le entrate pubbliche totali applicando il rapporto entrate/PIL del dataset AMECO fino al 2026, anno in cui raggiunge il 47,9% e assumiamo che tale rapporto rimanga costante negli anni successivi. Inoltre, per analizzare l’evoluzione del debito pubblico, consideriamo due scenari di tasso d’interesse: uno basato sul country-specific guidance calculation sheet che accompagna il Debt Sustainability Monitor 2023 (European Commission, 2024), e l’altro allineato con il quadro di politica macroeconomica concordato congiuntamente dal Ministero dell’Economia e delle Finanze e dalla Commissione Europea (MEF, 2024).
5. Diversi scenari di politica fiscale espansiva
Come primo scenario, considereremo una politica orientata al nostro obiettivo di disoccupazione e adottiamo un approccio prudente, facendo riferimento ai valori del moltiplicatore fiscale della Commissione Europea pari a 0,75. Successivamente, considereremo uno scenario con moltiplicatore pari a 1, seguito da un terzo scenario che utilizza un moltiplicatore più elevato, pari a 1,409, come stimato da Deleidi et al. (2021). Confronteremo, quindi, i nostri calcoli con lo scenario di aggiustamento proiettato dalla Commissione Europea nel Debt Sustainability Monitor 2023. [4] In tutti gli scenari, a differenza delle previsioni della Commissione Europea e in coerenza con la letteratura scientifica, non assumiamo alcun meccanismo automatico di convergenza del PIL effettivo verso il PIL potenziale, e assumiamo quindi che variazioni persistenti del livello di spesa pubblica generano variazioni persistenti del livello di PIL, di entità dipendente dal moltiplicatore fiscale, mentre i dati e le previsioni della Commissione sulle altre variabili rilevanti sono mantenuti costanti.
Il tasso di crescita del PIL reale previsto nel nostro scenario, fissato al 2,6% annuo tra il 2024 e il 2029, supera significativamente le stime fornite dalla Commissione Europea (CE) e anche quelle attese dal Ministero dell’Economia italiano. L’evoluzione della spesa pubblica, combinata con l’assunzione di una quota costante delle entrate governative e una crescita del PIL più elevata, si traduce in un miglioramento progressivo del saldo netto della Pubblica Amministrazione in percentuale del PIL. Come riportato nella Tabella 2, entro il 2029 le nostre proiezioni indicano un disavanzo pari a -2,7%, più favorevole rispetto alla stima della CE pari a -3,5%.
Tabella 2. Disavanzo pubblico netto totale, % del PIL. Diversi scenari

La prima riga riporta il rapporto Deficit (totale)/PIL proiettato dalla Commissione Europea, come presentato nel Piano Strutturale di Bilancio di Medio Termine (MEF, 2024, p. 22). Le righe 2–4 mostrano i rapporti Deficit/PIL ottenuti dalle nostre simulazioni, basate su differenti ipotesi di moltiplicatore fiscale.
La Figura 3 illustra l’evoluzione del rapporto Debito-PIL. Nel complesso, le nostre simulazioni mostrano traiettorie più accentuate rispetto alle previsioni della Commissione Europea. Tuttavia, questi risultati sono altamente sensibili al valore assunto per il moltiplicatore fiscale. In particolare, utilizzare un moltiplicatore inferiore a 1 tende a sottostimare gli effetti negativi delle politiche di austerità, sovrastimando al tempo stesso l’ammontare di spesa pubblica necessario per raggiungere un dato obiettivo di crescita. Nel primo scenario, con il moltiplicatore fissato a 0,75, adottando le previsioni sui tassi d’interesse del Ministero dell’Economia e delle Finanze (MEF), il rapporto debito/PIL raggiunge il 151,8% nel 2029, rispetto alla proiezione della CE pari al 139,7%. Sotto le ipotesi più pessimistiche del Debt Sustainability Monitor (DSM) sui tassi d’interesse, il rapporto sale al 153,8%. La contrazione dei disavanzi pubblici sul PIL al di sotto di quanto previsto dalla Commissione, anche in questo scenario, suggerisce tuttavia che la traiettoria del debito tenderebbe a scendere su orizzonti più lunghi. Si noti, in ogni caso, che i risultati ottenuti nelle proiezioni della Commissione dipendono in modo cruciale dall’assunzione di “dissipazione” degli effetti negativi del consolidamento sul PIL. A parità di politica restrittiva, ma senza tale assunzione, il rapporto debito/PIL aumenterebbe, probabilmente oltre quanto proiettato nel nostro scenario espansivo (cfr. Ciccone, 2025).
Figura 3. Debito pubblico lordo in percentuale del PIL. Previsioni della Commissione Europea a confronto con le nostre proiezioni basate sulle tre ipotesi di moltiplicatore fiscale.

La linea nera rappresenta lo scenario di aggiustamento della Commissione Europea. La linea blu corrisponde alla nostra simulazione con un moltiplicatore fiscale di 0,75, coerente con l’assunzione della Commissione; la linea arancione riflette uno scenario con moltiplicatore pari a 1; la linea viola si basa su un moltiplicatore keynesiano pari a 1,409. Ciascuno scenario è simulato sotto due ipotesi sui tassi d’interesse: le linee continue si riferiscono alle proiezioni della Commissione (DSM), mentre le linee tratteggiate riflettono le previsioni del MEF. Le fonti dei dati sono dettagliate in appendice.
L’aumento del valore del moltiplicatore fiscale introduce cambiamenti degni di nota sia negli esiti sul disavanzo sia su quelli sul debito. Con un moltiplicatore pari a 1, come adottato dal MEF nella Nota di Aggiornamento del Documento di Economia e Finanza (NADEF) 2017, il saldo netto della Pubblica Amministrazione in percentuale del PIL migliora chiaramente entro il 2029. In questo scenario, il rapporto debito/PIL raggiunge il 143% con le ipotesi sui tassi d’interesse del MEF e il 146% sotto le proiezioni DSM (si vedano le linee arancioni in Figura 8). Benché leggermente superiore alla stima della CE, la traiettoria rimane stabile e non esplosiva, mostrando una tendenza al ribasso via via che si dispiegano gli effetti della crescita più elevata.
Infine, adottando il moltiplicatore fiscale medio per l’Italia stimato da Deleidi et al. (2021) a 1,409, i risultati migliorano ulteriormente. Il fabbisogno di spesa pubblica elevata si riduce progressivamente, con la spesa pubblica in rapporto al PIL che scende al 46,6% entro il 2029. Nel frattempo, il saldo netto del settore pubblico passa in avanzo già nel 2028. Come mostrato dalle linee viola in Figura 8, il rapporto debito/PIL si allinea da vicino alla stima ufficiale della CE quando si utilizzano le medesime ipotesi sui tassi d’interesse (139,37% nel 2029) e scende ancora di più al 137,46% nello scenario MEF. Questi risultati confermano che — oltre al valore del moltiplicatore fiscale — l’evoluzione del rapporto debito/PIL è determinata in misura significativa dalla politica monetaria e dalla dinamica dei tassi d’interesse, in linea con le Previsioni Economiche della Commissione Europea (2024).
6. Conclusioni
Abbiamo discusso delle carenze delle “nuove” regole europee sia in generale sia per l’economia italiana, mettendo in luce le assunzioni irrealistiche che sottostanno a tali regole, e come queste rischino di portare l’Italia in una pericolosa situazione di stagnazione-recessione accompagnata da un peggioramento del rapporto debito/PIL. Alla luce di ciò, questo lavoro stima le implicazioni fiscali di una politica volta a conseguire un tasso di disoccupazione basso e pari al 4,5%, un traguardo realistico ma ambizioso che richiede una crescita del PIL del 2,6% annuo nel periodo 2024–2029. Per sottolineare l’importanza di politiche fiscali e monetarie espansive, sono stati esplorati diversi scenari, adottando per quanto possibile i dati e le ipotesi contenuti nelle previsioni della Commissione Europea e del Ministero dell’Economia e delle Finanze. Tuttavia, a differenza di queste istituzioni e in coerenza con la letteratura scientifica, gli effetti delle variazioni della spesa pubblica sul PIL sono stati considerati permanenti. Utilizzando il moltiplicatore fiscale suggerito dalla Commissione Europea (0,75), il rapporto disavanzo/PIL diminuisce più che nello scenario di politica della Commissione, ma il rapporto debito/PIL nel 2029 supera il livello proiettato dalla Commissione Europea e dal Ministero dell’Economia e delle Finanze nel Piano Strutturale di Bilancio di Medio Termine 2025–2029, che tuttavia sono calcolati sotto l’ipotesi non supportata e irrealistica di rapida dissipazione degli effetti negativi del consolidamento. L’adozione di moltiplicatori fiscali più elevati — pari e superiori a 1, come suggerito da risultati della letteratura accademica e istituzionale — produce esiti diversi. Tra questi, oltre a un tasso di disoccupazione sostanzialmente inferiore rispetto alle previsioni istituzionali, è importante sottolineare come si ottenga un rapporto debito/PIL che diminuisce alla fine del periodo e, in particolare nello scenario “keynesiano”, scende vicino o al di sotto delle proiezioni ufficiali basate su politiche macroeconomiche restrittive.
Questi risultati sono coerenti con diversi filoni di letteratura che evidenziano come le politiche fiscali restrittive possano avere effetti perversi sul rapporto debito/PIL (Ciccone, 2013; Fatás e Summers, 2018; Ciaffi et al., 2019; Heimberger et al., 2024) e come le politiche fiscali espansive possano rafforzare la sostenibilità del debito (Ciaffi et al., 2024; Uxó et al., 2024). Naturalmente, vi è un certo grado di incertezza che circonda tutte le previsioni, così come le stime dei moltiplicatori. I nostri esercizi di simulazione contribuiscono, tra l’altro, a mostrare la sensibilità delle proiezioni a ipotesi alternative. Tuttavia, l’elevato numero di studi che indicano come dai consolidamenti fiscali possano derivare “cicatrici permanenti” suggerisce che, nel dubbio, è preferibile errare nella direzione opposta, ossia verso l’espansione. Ciò in contrasto con quanto invece sta accadendo: nel documento programmatico di bilancio del 2026, il Ministero dell’economia prevede una crescita media della spesa pubblica netta nel triennio 2026-28 inferiore alla crescita prevista dei prezzi, e dunque negativa in termini reali.
Una politica incentrata sulla riduzione del tasso di disoccupazione avrebbe chiari benefici economici e sociali, producendo effetti non catastrofici, e probabilmente virtuosi nel medio periodo, sul bilancio pubblico. Un percorso di questo tipo dovrebbe quindi essere preso seriamente in considerazione dai governi e dai regolatori europei, alla luce dei molteplici rischi — non solo economici, ma anche sociali, politici e finanziari — associati al perseguimento della dolorosa, verosimilmente infruttuosa e autolesionistica politica di restrizioni fiscali mirate alla riduzione del rapporto debito/PIL.
Appendice
La relazione tra crescita e tasso di disoccupazione
L’Equazione A1 rappresenta la stima della versione dinamica della relazione tra crescita del PIL e disoccupazione (legge di Okun), i cui risultati sono riportati in Tabella 1:

La scomposizione della crescita
La nostra scomposizione della crescita – mostrata nell’Equazione (A2) – segue la formulazione sviluppata da Freitas e Dweck (2013) e da Spinato Morlin et al. (2024):

Qui g è il tasso di crescita del PIL reale, α rappresenta il (super)moltiplicatore, mentre gHI, gX, gCC si riferiscono ai tassi di crescita attesi di investimenti autonomi, esportazioni e consumi autonomi, rispettivamente, ponderati per la quota di ciascuna componente della domanda (in termini reali) sul PIL reale (Y). Questa metodologia fornisce una stima meno favorevole del fabbisogno di contributo della spesa pubblica rispetto alla scomposizione convenzionale della crescita. Quest’ultima, infatti, considera il contributo alla crescita di tutte le componenti della domanda aggregata, riducendo così il ruolo attribuito alla spesa pubblica.











































Add comment